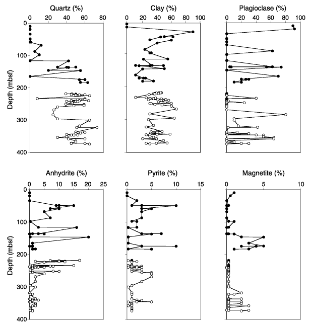
Figure F68. Variation in abundance of significant minerals with depth at Site 1188, as estimated in thin section for Hole 1188A (solid circles) and Hole 1188F (open circles).